Nhiệt độ
Giải pháp kỹ thuật khắc phục khiếm khuyết dữ liệu công tác mô hình hóa hệ thống truyền tải nước sạch *
Mô hình mô phỏng hoạt động của hệ thống phân phối nước một cách gần đúng, cho phép đánh giá hiệu suất vận hành, tối ưu hóa chi phí và đảm bảo an toàn cấp nước trong nhiều kịch bản khác nhau.
* MỘT SỐ GIẢI PHÁP KỸ THUẬT KHẮC PHỤC KHIẾM KHUYẾT DỮ LIỆU TRONG CÔNG TÁC MÔ HÌNH HÓA HỆ THỐNG TRUYỀN TẢI NƯỚC SẠCH CHO CÁC ĐÔ THỊ LỚN
Tóm tắt
Xây dựng mô hình thủy lực là một bước thiết yếu trong công tác quản lý và vận hành hệ thống truyền tải nước sạch tại các đô thị hiện đại. Mô hình mô phỏng hoạt động của hệ thống phân phối nước một cách gần đúng, cho phép đánh giá hiệu suất vận hành, tối ưu hóa chi phí và đảm bảo an toàn cấp nước trong nhiều kịch bản khác nhau. Trong khuôn khổ nghiên cứu, nhóm thực hiện đã tiến hành khảo sát thực địa tại các nhà máy nước thuộc địa bàn TP. Hồ Chí Minh; thu thập và phân tích dữ liệu sản lượng, áp lực từ hệ thống giám sát SCADA; xử lý bản đồ tuyến ống từ nền tảng CAD, GIS; đồng thời nghiên cứu hồ sơ thiết kế - thi công các tuyến ống điển hình, vị trí lắp đặt đồng hồ tổng và tài liệu tham khảo quốc tế có liên quan. Dựa trên các vấn đề thực tiễn về thiếu hụt và không đồng bộ dữ liệu, nhóm đề xuất một số giải pháp kỹ thuật khắc phục.
Các giải pháp đề xuất đã góp phần nâng cao tính chính xác và độ tin cậy của mô hình thủy lực, đặc biệt trong điều kiện thiếu dữ liệu – từ đó hỗ trợ hiệu quả cho công tác quy hoạch, vận hành và nâng cấp mạng lưới cấp nước đô thị.
Từ khóa: mô hình thủy lực; khiếm khuyết dữ liệu ; hệ thống cấp nước; hệ số nhám; đồng hồ tổng.
TECHNICAL SOLUTIONS FOR ADDRESSING DATA DEFICIENCIES IN MODELING OF URBAN POTABLE WATER TRANSMISSION SYSTEMS IN MAJOR CITIES
Abstract
Developing a hydraulic model is an essential step in the management and operation of potable water transmission systems in modern urban environments. The model provides a close approximation of the distribution system's behavior, enabling performance evaluation, cost optimization, and ensuring water supply safety across various operating scenarios. As part of this study, the research team conducted field investigations at several water treatment plants in Ho Chi Minh City; collected and analyzed flow and pressure data from the SCADA monitoring system; and processed pipeline alignment maps based on CAD and GIS platforms. The team also reviewed design and construction documentation for typical pipeline sections, examined the locations of master meters, and consulted relevant international literature. In light of practical issues related to incomplete and inconsistent data, the study proposes a set of technical solutions to address these shortcomings and support improved modeling accuracy..
These solutions significantly improve the accuracy and reliability of hydraulic models, particularly under conditions of limited data availability, thereby supporting better planning, operational decision-making, and system upgrades in large urban water supply networks.
Keywords: hydraulic modeling; data deficiencies; water supply system; roughness coefficient; master meter.
1. Giới thiệu
Mô hình thủy lực (MHTL) được thiết kế để biểu diễn một hệ thống truyền tải nước sạch (HTTTNS) thực tế. Nó biểu diễn được các tuyến ống, trạm bơm, bể chứa, các loại van và các thiết bị điều khiển khác. Mức độ chi tiết của dữ liệu được cập nhật vào mô hình sẽ giúp làm rõ vấn đề đang được phân tích. Tuy nhiên khó khăn khi dữ liệu đầu vào cho mô hình được ghi nhận qua báo cáo của phần mềm thủy lực có rất nhiều lỗi cần khắc phục như lỗi về cấu trúc mạng lưới, lỗi thiếu kết nối từ nhiều nút và bơm với mạng lưới (hình 1), lỗi thiếu dữ liệu hệ số nhám C… Trong bài báo này sẽ đưa ra một vài trường hợp khiếm khuyết dữ liệu phục vụ cho công tác mô hình hóa HTTTNS và phương án giải quyết.

Hình 1. Một phần báo cáo các lỗi kết nối, khiếm khuyết dữ liệu từ phần mềm thủy lực.
1.1. Nền tảng lý thuyết của mô hình dựa trên hai định luật cơ bản:
Phương trình liên tục: bảo toàn khối lượng nước tại các nút và đoạn ống.
Phương trình năng lượng Hazen-William: mô tả tổn thất áp lực trong dòng chảy qua các đoạn ống do ma sát và cản trở.
1.2. Phương pháp.
Khảo sát tại các nhà máy nước chính trên địa bàn TP. Hồ Chí Minh
Thu thập dữ liệu SCADA (lưu lượng, áp lực) tại các đồng hồ tổng
Số hóa và đánh giá bản đồ tuyến ống từ nền tảng CAD và GIS
Nghiên cứu hồ sơ thiết kế, thi công các tuyến ống điển hình.
2. Xác định các khiếm khuyết và giải pháp
2.1. Dữ liệu GIS chưa phù hợp với nguyên lý thủy lực trong mạng lưới cấp nước (MLCN)
Dữ liệu GIS bao gồm các thông tin về vị trí địa lý của các yếu tố trên bề mặt đất, như hệ thống đường giao thông, địa hình, trạm bơm, đường ống cấp nước, van, trụ cứu hỏa, đồng hồ đo, v.v. [2]. Tuy nhiên khi sử dụng dữ liệu GIS được cung cấp ở định dạng tương thích với các phiên bản phần mềm thủy lực cấp nước trên thị trường có thể gặp các trường hợp:
+ vị trí mối nối, van, trụ chữa cháy, bơm, bể chứa - khi chuyển từ dữ liệu GIS qua cho thấy nhiều vị trí không hợp lý về mặt cấu trúc mạng lưới cấp nước đô thị ví dụ như trong hình 2b – nút tiêu thụ nước và trụ cứu hỏa cùng nối với van, van thì còn nằm trên tuyến ống truyền tải; hình 2c – bể chứa và bơm không có kết nối với mạng lưới đường ống. Nguyên nhân có thể do các đối tượng được tạo 2 lần cùng vị trí, các vị trí bị chồng lấn…; giải pháp – dựa vào nguyên lý thủy lực MLCN nhóm nghiên cứu đã rà soát chỉnh sửa từng trường hợp theo cấu trúc MLCN chung tất cả các trường hợp trên, tuy nhiên về lâu dài cần trang bị kiến thức về nguyên lý thủy lực MLCN nước cho nhân viên cập nhật GIS (hình 2a), trong đó có cấu trúc mạng lưới thường gặp tại các vị trí đấu nối, đảo tuyến, trụ chữa cháy, xả cặn, xả khí... và kiến thức cơ bản về mô hình thủy lực.

Hình 2. Điển hình vị trí nút, van trong thực tế và mô phỏng.
2.2. Thiếu dữ liệu về khẩu độ đóng các van trên mạng lưới
Với đô thị có dân số vài triệu hoặc lớn hơn thì số lượng các loại van trên HTTTNS có thể lên đến hàng trăm van lớn nhỏ với nhiệm vụ cô lập, tách dòng, điều hướng, điều áp dòng chảy, phân vùng cấp nước giữa các nhà máy, phân vùng phục vụ giữa các công ty phân phối nước sạch… mạng lưới lại được phát triển liên tục qua nhiều năm cùng với nhiều thay đổi về diện mạo đường phố, hạ tầng giao thông, nhân sự quản lý mạng lưới…vì vậy để có được dữ liệu đầy đủ tình trạng hoạt động của số lượng van này khá khó khăn [2].
- giải pháp: nhóm nghiên cứu tập trung phân tích mô hình HTTTNS theo nhu cầu - mô hình ban đầu này không phụ thuộc vào áp suất. Lưu lượng dòng chảy trong đường ống và áp suất nút được đánh giá bằng mô phỏng thủy lực theo các điều kiện tuyệt đối của mạng lưới. Trong mô hình này, lưu lượng ra nút được cho là không đổi bất kể áp suất mạng lưới có thay đổi [3-6]. Điều quan trọng cần nhấn mạnh là giả định về sự độc lập của nhu cầu đối với trạng thái áp suất mạng lưới là công cụ để đơn giản hóa mô hình [1]. Cần thiết có sự tương tác với nhân sự có kinh nghiệm công tác vận hành mạng truyền tải, để tham vấn thêm về tình trạng thực tế một số vị trí van điển hình.
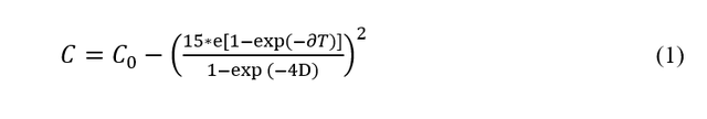
2.3. Xác định hệ số nhám C tương đối cho đường ống
Mô hình thủy lực HTTTNS có độ tin cậy cao cần thiết phải xác định hệ số nhám C tương đối (trong giai đoạn sớm của MHTL chưa nên sử dụng công cụ được thiết kế để tự động hóa quá trình hiệu chuẩn, mô hình có thể thiếu độ tin cậy để mô phỏng các kịch bản vận hành mạng lưới cho tương lai) [7-10]. Theo nghiên cứu của A.G. Kamerstein, tất cả các loại nước tự nhiên được chia thành năm nhóm, tùy thuộc vào các yếu tố vật lý, hóa học và sinh học ảnh hưởng đến sự thay đổi độ nhám của thành ống và sự giảm công suất đường ống [11].
giải pháp – đề xuất sử dụng công thức xác định hệ số nhám C tương đối cho ống có lớp phủ xi măng lòng ống [12] được TS. N.H.Cương đề xuất trong báo cáo luận văn tốt nghiệp năm 2019:

Trong đó e là độ nhám trung bình (mm); ∂ là mức tăng hằng năm độ nhám tuyệt đối (mm); C0 là hệ số nhám khi ống còn mới; D là đường kính trong (mm); T là thời gian sử dụng (năm); 15 là hệ số tính tới tốc độ trung bình, độ ổn định dòng chảy.
Sử dụng công thức (1) xác định hệ số nhám C tương đối được xác định cho ống có đường kính 250 mm và 400 mm cho được kết quả tương đồng với nhiều chỉ dẫn kỹ thuật, sổ tay thiết kế của một số công ty thiết kế mạng lưới cấp nước sạch ngoài nước (bảng 1).
Bảng 1. Sự phụ thuộc của hệ số nhám C (ống có lớp phủ xi măng bên trong) vào đường kính, tuổi thọ sử dụng và đặc điểm của nước.
| Diameter, | the annual increase in absolute roughness, mm per year (∂) | Characteristics of natural waters | Roughness (е) | Roughness coefficient C of new and used pipes (Наzen-Williams) | |||||||
| New | 5 years | 10 years | 20 years | 30 years | 40 years | 50 years | |||||
| 250 | 0.007 | Group 1 | e=0,3 mm | 130 | 129.9 | 129.8 | 129.1 | 128.2 | 127.0 | 125.6 | |
| e=0,28 mm | 129.9 | 129.8 | 129.2 | 128.4 | 127.4 | 126.1 | |||||
| e=0,26 mm | 130.0 | 129.8 | 129.4 | 128.6 | 127.7 | 126.7 | |||||
| 400 | e=0,3 mm | 130.0 | 129.9 | 129.5 | 128.9 | 128.1 | 127.2 | ||||
| e=0,28 mm | 130.0 | 129.9 | 129.5 | 129.0 | 128.3 | 127.6 | |||||
| e=0,26 mm | 130.0 | 129.9 | 129.6 | 129.1 | 128.6 | 127.9 | |||||
| 250 | 0.05 | Group 2 | e=0,3 mm | 127.5 | 122.2 | 109.7 | 99.4 | 92.1 | 87.3 | ||
| e=0,28 mm | 127.8 | 123.2 | 112.4 | 103.4 | 97.0 | 92.8 | |||||
| e=0,26 mm | 128.1 | 124.1 | 114.8 | 107.0 | 101.5 | 97.9 | |||||
| 400 | e=0,3 mm | 128.4 | 125.1 | 117.3 | 110.8 | 106.2 | 103.2 | ||||
| e=0,28 mm | 128.6 | 125.7 | 118.9 | 113.3 | 109.3 | 106.7 | |||||
| e=0,26 mm | 128.8 | 126.3 | 120.5 | 115.6 | 112.1 | 109.9 | |||||
| 250 | 0.1 | Group 3 | e=0,3 mm | 122.2 | 109.7 | 92.1 | 84.2 | 81.2 | 80.0 | ||
| e=0,28 mm | 123.2 | 112.4 | 97.0 | 90.1 | 87.5 | 86.4 | |||||
| e=0,26 mm | 124.1 | 114.8 | 101.5 | 95.6 | 93.3 | 92.4 | |||||
| 400 | e=0,3 mm | 125.1 | 117.3 | 106.2 | 101.3 | 99.4 | 98.6 | ||||
| e=0,28 mm | 125.7 | 118.9 | 109.3 | 105.0 | 103.3 | 102.7 | |||||
| e=0,26 mm | 126.3 | 120.5 | 112.1 | 108.4 | 107.0 | 106.4 | |||||
trong đó nhóm 1; nhóm 2; nhóm 3 lần lượt được áp giá trị ∂ là mức tăng hằng năm độ nhám tuyệt đối lần lượt: 0.007mm; 0.05mm; 0.1mm.
2.4. Dữ liệu cao độ
MHTL được thiết lập để biểu diễn một HTTTNS thực tế, phản ánh hệ thống đường ống và các cơ sở như trạm bơm, bể chứa, van và các thiết bị điều khiển khác. Không nhất thiết tất cả các vị trí đấu nối trên mạng lưới đều phải có cao độ chính xác, những vị trí cần lưu ý cần xác định cao độ như: mức nước bể chứa, trục máy bơm, data logger truyền kênh áp lực tại nhà máy, vị trí có đồng hồ tổng (ĐHT) trên mạng lưới.
+ mức nước bể chứa, trục máy bơm, data logger truyền kênh áp lực tại nhà máy – với các vị trí này cần thiết đi khảo sát thực tế hiện trường, trục máy bơm là nơi phát xuất thế năng của dòng chảy (là năng lượng mà dòng chảy có thể có dựa trên áp suất); vị trí của data logger truyền kênh áp lực tại trạm bơm và đưa dữ liệu lên SCADA (vị trí này thường không cùng cao độ với trục bơm nên phát sinh chênh lệch áp suất trên SACDA với thực tế, đôi khi đến trên 4 mét) (hình 3); giải pháp - vì vậy cần bù trừ chênh lệch độ cao giữa vị trí đo áp với trục bơm thông qua khảo sát thực tế, phân biệt giữa áp suất trạm bơm với áp suất tại vị trí đo của logger.

Hình 3. Vị trí đấu nối ống dẫn áp đi đến data logger, chênh với trục bơm hơn 3 mét.
+ cao độ đo áp tại các vị trí ĐHT – với các vị trí này thường có 2 kênh áp lực và lưu lượng được truyền về trung tâm và dữ liệu được trực quan hóa trên SCADA, cần lưu ý xác định tương đối cao độ đo áp là từ thành ống, bù trừ cao độ nếu data logger nằm ở vị trí cao so với ống; giải pháp – khảo sát thực tế một số vị trí ĐHT điển hình, xem và đối chiếu bản vẽ hoàn công lắp đặt tủ tín hiệu của đồng hồ điện từ để xác định chênh lệch độ cao giữa đỉnh ống và vị trí data logger, qua đó bù trừ vào giá trị áp lực thu được từ tín hiệu của data logger.
3. Kết quả
Từ dữ liệu thô ban đầu được phần mềm thủy lực báo cáo sau bước kiểm tra dữ liệu xuất hiện nhiều lỗi về cấu trúc mạng lưới, lỗi thiếu kết nối nút, bơm, lỗi thiếu dữ liệu hệ số nhám C… hiện tại tất cả các khiếm khuyết này đã được khắc phục, mô hình đang chạy theo thời gian thực với giá trị lưu lượng toàn hệ thống chính xác trên 90%. Tiếp theo sẽ chuyển sang giai đoạn hiệu chỉnh, so sánh áp lực toàn hệ thống với thực tế vận hành của của HTTTNS, sau đó tiếp tục phân tích độ tin cậy cũng như sai số trong các trường hợp sự cố trên tuyến ống hay sự điều tiết chủ động của đơn vị vận hành theo thời gian thực.
4. Kết luận
Mỗi HTTTNS có quá trình phát triển khác nhau, đòi hỏi người làm mô hình cần tìm hiểu thêm về thiết kế, thi công, chủng loại vật tư...ngành cấp nước, người làm MHTL cũng cần tham vấn với nhân sự nhều kinh nghiệm trong các Công ty cấp nước. Công tác mô hình hóa HTTTNS không đơn thuần chỉ là các hoạt động kỹ thuật, khi MHTL đó lại gắn với lịch sử phát triển của cộng đồng cư dân lớn. Qua các nội dung trình bày trên đây cũng cho thấy rằng các phần mềm thủy lực mạng lưới cấp nước trên thị trường hiện nay đang giải quyết tốt các phương trình thủy lực, tính toán và biểu đạt bằng hình ảnh trực quan, tuy nhiên quyết định độ tin cậy và duy trì độ tin cậy cao của MHTL vẫn cần nhân sự có chuyên môn sâu về thủy lực cấp nước trong đô thị.
Tài liệu tham khảo
[1] Wagner, J., Shamir, U., and Marks, D. (1988). Water Distribution Reliability. Simulation Methods, Journal of Water Resources Planning and Management, 114(3):276–294.
[2] Tổng công ty cấp nước Sài Gòn. Chuẩn hóa quy trình cấp nước, https://sawaco.com.vn/post-detail/chuan-hoa-quy-trinh-cap-nuoc-250618134038.html, truy cập ngày 25/06/2025.
[3] Giustolisi, O., Savic, D., and Kapelan, Z. (2008). Pressure-Driven Demand
and Leakage Simulation for Water Distribution Networks. Journal of Hydraulic
Engineering, 134(5):626–635.
[4] Tabesh, M., Jamasb, M., and Moeini, R. (2011). Calibration of water distribution
hydraulic models. A comparison between pressure dependent and demand driven
analyses. Urban Water Journal, 8(2):93–102.
[5] Tabesh, M., Shirzad, A., Arefkhani, V., and Mani, A. (2014). A comparative study
between the modified and available demand driven based models for head driven
analysis of water distribution networks. Urban Water Journal, 11(3):221–230.
[6] Vairavamoorthy, K. and Lumbers, J. (1998). Leakage Reduction in Water Distribution Systems. Optimal Valve Control. Journal of Hydraulic Engineering,
124(11):1146–1154.
[7] American Water Works Association. (2005). Computer Modeling of Water Distribution Systems. Printed in the United States of America, in USA.
[8] Nicolas G. Adrien. (2004). Computational Hydraulics and Hydrology. CRC Press LLC, Florida, USA.
[9] Bentley company. (2012). Bentley WaterGEMS V8i. Watertown, CT 06795 USA.
[10] Cuong, N.H. (2008). Calculation and design of water distribution networks in the WaterCAD. Student and science, Scientific Herald of VGASU,. 4 (2008) 131–134.
[11] Kamerstein A G, Ruchimsky M N, Christmas V V (1963). Strength calculation of pipelines. Moscow: Gostoptekhizdat.
[12] Cuong, N.H. (2019). Hoàn thiện tính toán và tối ưu hoá hệ thống cấp nước có tính đến ăn mòn đường ống cho các thành phố lớn. https://vak.minobrnauki.gov.ru/dip/100039981.
Tác giả: TS Nguyễn Huy Cương
Trường Đại học Tài nguyên Môi trường Thành phố Hồ Chí Minh
20 mũi thi công khẩn trương bổ cập nước cải tạo sông Tô Lịch và chống ngập đô thị
VIWASEEN kiện toàn bộ máy lãnh đạo tại Đại hội đồng cổ đông bất thường năm 2026
Ứng cử viên HĐND TP.HCM Lê Quốc Tuấn với định hướng nâng cao hiệu quả quản lý đô thị
BVG tiếp tục đồng hành cùng Giải xe đạp nữ quốc tế TP.HCM - Cúp BIWASE 2026
Đọc thêm
Đánh giá đặc điểm và ứng dụng của Eco-Enzyme được sản xuất từ vỏ họ quả Citrus
Bài báo này trình bày nghiên cứu về ứng dụng của Eco-Enzyme trong việc giảm thiểu cục bộ ô nhiễm nước.
AI và “cơn khát nước” của nền kinh tế số
Sự bùng nổ của trí tuệ nhân tạo đang kéo theo nhu cầu khổng lồ về điện và nước cho các trung tâm dữ liệu. Đằng sau tăng trưởng của nền kinh tế số là “dấu chân nước” ngày càng lớn, đặt ra thách thức mới đối với quản trị tài nguyên và phát triển bền vững.
Lời giải kỹ thuật cho bài toán vận hành hệ thống cấp nước Quảng Ninh
Việc ứng dụng phối hợp các giải pháp hệ thống giám sát và thu thập giữ liệu (SCADA) - thông tin địa lý (GIS) - phân vùng (DMA) chính là lời giải kỹ thuật cho bài toán vận hành hệ thống cấp nước Quảng Ninh, giúp công tác quản lý chuyển từ phản ứng khi có sự cố sang chủ động giám sát - kiểm soát - tối ưu.
Khi dữ liệu trở thành điều kiện sống còn của ngành cấp nước
Trong bối cảnh áp lực tài chính gia tăng và yêu cầu minh bạch ngày càng cao, ngành cấp nước Việt Nam đang đứng trước đòi hỏi phải chuẩn hóa dữ liệu vận hành. NewIBNET không chỉ là công cụ so sánh quốc tế, mà đang trở thành nền tảng giúp doanh nghiệp nâng cao quản trị và củng cố năng lực tiếp cận nguồn vốn.
Người “gieo” sáng kiến trong quản trị nước sạch đô thị
Từ những cải tiến cụ thể như tích hợp dữ liệu GIS, giám sát SCADA đến tối ưu điều tiết áp lực, hành trình “gieo sáng kiến” của người kỹ sư ngành Nước đang góp phần hình thành nền tảng trí tuệ cho quản trị hệ thống cung ứng nước sạch.
Tư vấn lựa chọn máy ép bùn hiệu quả cho nhà máy cấp nước
Trong hệ thống xử lý nước cấp hiện đại, máy ép bùn được xem là thiết bị không thể thiếu, phát huy hiệu quả trong việc giảm thể tích bùn. Từ đó giúp tối ưu hóa chi phí vận hành và đảm bảo tuân thủ các quy định về bảo vệ môi trường.
Tối ưu chi phí xử lý bùn thải cho doanh nghiệp ngành Nước và Môi trường
Trong vận hành hệ thống xử lý nước thải, bùn thải đang là một trong những hợp phần tiêu tốn chi phí, ảnh hưởng trực tiếp đến hiệu quả vận hành và tính bền vững của các công trình. Việc ứng dụng các giải pháp tối ưu về công nghệ và hiệu quả kinh tế trong xử lý bùn thải trở thành vấn đề cấp thiết.
Tăng cường hợp tác đào tạo, nghiên cứu giữa Trường ĐH Xây dựng Hà Nội và Công ty TNHH MTV Nước sạch Hà Nội
Ngày 15/01/2026, tại trụ sở Công ty TNHH MTV Nước sạch Hà Nội, Trường Đại học Xây dựng Hà Nội (HUCE) và Công ty TNHH MTV Nước sạch Hà Nội (HAWACOM) đã tổ chức Lễ ký kết Biên bản ghi nhớ và Thỏa thuận hợp tác.
Nghiên cứu giảm thiểu ăn mòn sinh học trong hệ thống thoát nước đô thị bằng bê tông hỗ trợ chất dẫn điện
Nghiên cứu đề xuất lớp lót bê tông có bổ sung vật liệu dẫn điện (magnetite, acetylene black) nhằm thúc đẩy vi khuẩn sinh điện và oxy hóa sinh học H₂S. Thí nghiệm quy mô phòng được thực hiện với các cấu hình lớp lót khác nhau.