Nhiệt độ
Đánh giá hiện tượng lũ quét Khu du lịch sinh thái Thác Bảo Đại - Tuyền Lâm, TP Đà Lạt
Với phương pháp mô phỏng toán số, các nhà nghiên cứu đánh giá định lượng dòng lũ quét ngang qua Khu du lịch sinh thái thác Bảo Đại - Tuyền Lâm, chiều sâu ngập nước và thời gian tập trung nước trong hồ Tuyền Lâm, từ đó đưa ra các cảnh báo khi quy hoạch xây dựng dự án.
Tóm tắt:
Dự án "Khu du lịch tham quan, dã ngoại thác Bảo Đại- Tuyền Lâm" là vùng đồi núi cách trung tâm thành phố Đà Lạt khoảng 3.5km với lưu vực khoảng 14.5 km2. Khi có mưa trên lưu vực, dòng chảy tràn được hình thành và tập trung vào hồ Tuyền Lâm. Nghiên cứu này sử dụng phương pháp mô phỏng toán số nhằm mục đích đánh giá định lượng dòng lũ quét ngang qua khu vực nghiên cứu (khoảng 5ha), chiều sâu ngập nước và thời gian tập trung nước trong hồ Tuyền Lâm, từ đó đưa ra các cảnh báo khi quy hoạch xây dựng dự án.
Từ khoá: Telemac2D, lũ quét, Đà Lạt, khu du lịch sinh thái, ngập nước.
1. Đặt vấn đề
Trong khoảng 10 năm trở lại đây, cùng với sự cực đoan ngày càng gia tăng của thời tiết cũng như sự mất cân bằng trong quy hoạch (bê tông hóa cao lấn chiếm lòng suối, quá nhiều nhà kính và nhà lưới, hệ thống thoát nước xuống cấp, …), các trận mưa lớn dễ dàng gây ngập cục bộ hoặc sạt lở tại một số khu vực tại đô thị Đà Lạt, nhất là những vùng trũng, dẫn đến tổn thất cả người và tài sản. Việc dự báo và cảnh báo sớm các nguy cơ tại các khu vực trọng điểm cũng như lập bản đồ phân vùng mức độ rủi ro để chủ động ứng phó, giảm thiểu thiệt hại là hết sức cần thiết. Trong các hội thảo gần nhất về phòng chống thiên tai cho địa bàn thành phố Đà Lạt và tỉnh Lâm Đồng, ý kiến từ các chuyên gia, nhà khoa học, nhà quản lý đều thống nhất về việc cần rà soát, lập mới, điều chỉnh quy hoạch đô thị theo hướng lợi dụng ưu thế tự nhiên để tăng mức độ thích nghi, giảm bớt rủi ro, tôn trọng không gian dành cho nước; quy hoạch thoát nước theo hướng thoát nước bền vững thích ứng biến đổi khí hậu.
Nghiên cứu này nhằm mục đích đánh giá định lượng dòng lũ quét ngang qua khu vực nghiên cứu (khoảng 5ha), chiều sâu ngập nước và thời gian tập trung nước trong hồ Tuyền Lâm, làm cơ sở để đưa ra các cảnh báo khi quy hoạch xây dựng dự án. Trên cơ sở phân tích số liệu bản đồ DEM tỷ lệ 1/10000 cho diện tích tổng cộng của lưu vực là 14.5 km2, đường tụ thủy khu vực nghiên cứu và hành lang thoát nước tổng thể đã được xác định (hình 1). Khi mưa rơi xảy ra trên lưu vực nước sẽ tập trung và trục thoát nước chính theo hướng Bắc - Nam sẽ đi vào vùng phía Bắc hồ chứa nước Tuyền Lâm. Vị trí của nghiên cứu sẽ nằm trên vùng sườn đồi của hành lang thoát nước mưa vùng hạ lưu, cạnh hồ chứa nước Tuyền Lâm.

Hình 1: Lưu vực mô phỏng thủy lực 2D
2. Mô phỏng Chế độ thủy lực học 2D vùng Du lịch sinh thái thác Bảo Đại - Tuyền Lâm
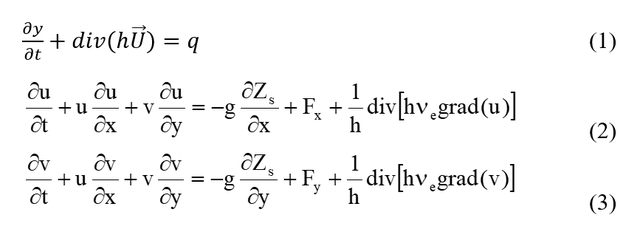
Phương pháp sử dụng trong nghiên cứu là sử dụng mô hình toán số, qua đó hiện tượng sẽ được mô phỏng bằng cách áp dụng đồng thời lý thuyết các bài toán thuỷ động lực với mô hình Telemac2D. Chương trình nêu trên đã được phát triển bởi Điện lực Pháp (EDF) với sự cộng tác của các phòng thí nghiệm Châu Âu và Châu Mỹ [1,2,3] và đây là các mô hình với mã nguồn mở được sử dụng rộng rãi trên thế giới. Phần mềm thủy lực này mô phỏng dòng chảy 2 chiều theo phương nằm ngang (trung bình theo phương thẳng đứng) được mô tả bởi hệ phương trình Saint Venant như sau:

Trong đó: h(m) – chiều sâu, u & v(m/s) – thành phần vận tốc theo phương ngang x & y của vận tốc , q(m/s) – lưu lượng đơn vị của nguồn, Zs(m) – cao độ mặt thoáng, Fx,y(m/s2) – các ngoại lực (không kể trọng lực, ví dụ lực Coriolis,...) tác dụng trên một đơn vị khối lượng chiếu theo phương ngang x & y,(m2/s)- hệ số khuếch tán.
Mô hình Telemac2D được lập trình có thể lựa chọn phương pháp phần tử hữu hạn hoặc thể tích hữu hạn. Bài toán số được lập trình có thể xử lý được các dạng điều kiện biên như: Biên mực nước Z, biên lưu lượng Q, biên lưu lượng và mực nước (Q&Z), biên vận tốc (u,v), biên vận tốc và mực nước (u,v& Z) hoặc dạng biên sóng đến. Các dạng biên khác nếu có sẽ được người sử dụng lập trình riêng nhờ vào phần mềm được tổ chức dưới dạng mã nguồn mở.
Đối với khu vực nghiên cứu, mô phỏng sử dụng dụng bản đồ số (DEM) tỷ lệ 1/10000 của thành phố Đà Lạt kết hợp với số liệu địa hình khu vực dự án nghiên cứu (hình 2). Lưới mô phỏng miền tính có dạng tam giác phi cấu trúc đã được xây dựng với khoảng 65200 phần tử. Các vị trí lưới theo các tuyến suối thu nước có cạnh trung bình 15m và khu vực còn lại có cạnh trung bình là 25m (hình 3).

Hình 2: Bản đồ cao độ số (DEM) khu vực cửa thoát nước lưu vực vào hồ Tuyền Lâm


Hình 3: Lưới miền tính 2D Hình 4: Điều kiện biên miền nghiên cứu
Điều kiện biên miền nghiên cứu gồm biên thuỷ lực là mực nước hồ Tuyền Lâm và biên thủy văn sử dụng số liệu mưa ngày tại trạm thủy văn Đà Lạt [4,5,6,7] thu thập trong 66 năm từ năm 1952 đến năm 2019 nhằm phục vụ cho phân tích, tính toán mưa ngày lớn nhất với các tần suất khác nhau (xem hình 5).

Hình 5: Đường tần suất mưa ngày lớn nhất tại trạm Đà Lạt
Nhằm nghiên cứu hiện tượng lũ quét cho khu vực nghiên cứu, các kịch bản thủy lực với chu kỳ lặp lại mưa khác nhau đã được xem xét tính toán (Bảng 1).
Bảng 1: Kịch bản mô phỏng thủy lực
Thời gian mưa lặp lại (năm) | Xlớn nhất (mm) |
5 | 110.73 |
20 | 168.80 |
50 | 217.31 |
100 | 261.21 |
Thời gian mô phỏng là 3 ngày. Nhằm đảm bảo tính ổn định trong mô phỏng toán số, giả thiết mưa sẽ bắt đầu lúc 12h ứng với thời gian bắt đầu mô phỏng (t=0h).
Phân bố hệ số nhám Manning khu vực tính toán mô phỏng được trình bày trong đồ thị sau:

Hình 6: Hệ số nhám Manning
3. Kết quả
Trường vận tốc
Đồ thị sau đây trình bày trường một vận tốc dòng chảy tức thời điển hình của kịch bản mưa có chu kỳ lặp lại trung bình 20 năm. Kết quả cho thấy hiện tượng tập trung dòng chảy mặt về hệ thống đường tụ thủy của lưu vực nghiên cứu và chảy về hồ Tuyền Lâm.

Hình 7: Trường vận tốc dòng chảy mặt tức thời sau khi mưa 1h (chu kỳ 20 năm)
Kết quả cho thấy trục tập trung nước chính phía Bắc, chảy theo hướng Bắc Nam ngang qua khu vực nghiên cứu để chảy vào hồ Tuyền Lâm là quan trọng trong lưu vực.
Bản đồ ngập
Khu vực nghiên cứu xây dựng nằm trên cuối hành lang thoát nước của khu vực nghiên cứu. Xây dựng bản đồ ngập cho phép xem xét xác định ranh giới xây dựng công trình hợp lý nhằm giảm thiểu tác động xấu do ngập khi mưa xảy ra trên lưu vực. Ngoài ra, trên cơ sở bản đồ ngập cho phép nghiên cứu quy hoạch các công trình hạ tầng bảo vệ một cách hợp lý và kinh tế. Bản đồ ngập tương ứng với các trường hợp mưa ngày lớn nhất tương ứng với các kịch bản mưa lặp lại với các chu kỳ 20 năm, 50 năm và 100 năm. Một số kết quả điển hình trình bày sau đây:

Hình 8: Bản đồ ngập trường hợp mưa lớn nhất ngày, chu kỳ 5 năm (a) (thời gian mưa 1h, mưa 110.8mm), chu kỳ 20 năm (b) (thời gian mưa 1h, tổng lượng mưa 168.8 mm)
Từ bản đồ ngập xét cho 3 kịch bản mưa 1h ứng với 3 chu kỳ mưa lặp lại là 20 năm, 50 năm và 100 năm cho thấy một cách sơ bộ sự gia tăng mực nước ngập lớn nhất. Ví dụ xét mực nước ở cao trình 1400 m, đồ thị cho thấy xu thế ngập nhiều cho vùng nghiên cứu có cao trình xem xét này. Đồ thị sau đây sẽ cho thấy xu thế này một cách định lượng.

Hình 9: Bản đồ ngập trường hợp mưa lớn nhất ngày, chu kỳ 20 năm (thời gian mưa 1h, tổng lượng mưa 168.8 mm)
Ghi chú: Tọa độ các điểm
1(553552.9;1317371.1), 2(573510.8;1317316.5), 3(573506.5;1317245.3), 4(573455.9;1317141.5), 5(573415.5;1317068.1), 6(573359.5;1316984.1)
Đồ thị sau đây trình bày diễn biến lưu lượng dòng chảy qua mặt cắt [A]-[A] và chiều sâu nước tại các vị trí [1], [2], [3], [4] và [5] theo thời gian mô phỏng:

Hình 10: Lưu lượng Q(t) chảy qua mặt cắt [A]-[A] tương ứng với các trận mưa cóchu kỳ lặp lại T=5 năm, 20 năm và 50 năm

Hình 11: Chiều sâu nước H(t) tại các vị trí [i] trường hợp mưa lớn nhất ngày,chu kỳ 20 năm (thời gian mưa 1h, tổng lượng mưa 168.8 mm)
Kết quả cho thấy xu thế chiều sâu nước lớn nhất tăng dần theo chiều dòng chảy về hướng hồ Tuyền Lâm. Lưu ý ở đây cao trình mực nước ngập giữa vai trò chính trong sự xác định vùng bị ngập của dự án.
Ảnh hưởng của thời gian mưa lên hiện tượng ngập
Phân tích thống kê thủy văn được thực hiện với giá trị mưa lớn nhất ngày với số liệu từ năm 1952 đến năm 2019. Kết quả cho phép xác định tổng lượng mưa lớn nhất ngày tương ứng với các tần xuất hiện khác nhau. Để đánh giá ảnh hưởng của phân bố mưa (cường độ), trong nghiên cứu sẽ thực hiện với 4 kịch bản thời gian kéo dài 1h, 2h, 3, và 4h với giả thiết mưa phân bố đều trên toàn lưu vực, tương ứng với tổng lượng mưa lớn nhất ngày được xác định từ thống kê với chu kỳ mưa lặp lại xác định. Đồ thị sau đây trình bày tổng hợp kết quả tính toán chiều sâu nước tại các vị trí đại biểu xem xét trục thoát nước chính khu vực gần dự án.

Hình 12: Chiều sâu nước tại vị trí [1] với trận mưa lớn nhất ngày chu kỳ 20 năm kéo dài từ 1h - 4h

Hình 13: Chiều sâu nước tại vị trí [4] với trận mưa lớn nhất ngày chu kỳ 20 năm kéo dài từ 1h - 4h
Ảnh hưởng tần suất mưa lặp lại lên hiện tượng ngập khu vực vùng dự án
Theo kết quả phân tích thống kê cho thấy mức độ thay đổi tổng lượng mưa lớn nhất ngày theo chu kỳ lặp lại. Phân tích số liệu mưa lớn nhất ngày nêu trên cho thấy ứng với tần suất mưa có cho kỳ lặp lại trung bình 20 năm sẽ là 168.8 mm, với chu kỳ 50 năm sẽ là 217.31mm và chu kỳ 100 năm sẽ là 261.21 mm. Sự lựa chọn tần suất mưa sẽ ảnh hưởng đến sự thiết kế an toàn của công trình và đầu tư kinh tế ban đầu của dự án. Quyết định này sẽ phụ thuộc vào Chủ đầu tư dựa trên các số liệu kinh tế, kỹ thuật. Kết quả sau đây sẽ trình bày sự thay đổi định lượng về chiều sâu ngập nước (tại các vị trí điển hình) trên hành lang thoát nước của khu vực gần dự án.

Hình 14: Chiều sâu nước tại vị trí [1] với các cơn mưa 1h có chu kỳ 20, 50 và 100 năm
Bảng tổng hợp sau đây trình bày sự gia tăng mực nước ngập lớn nhất tại các vị trí xem xét [i] theo tần suất mưa lặp lại:
Bảng 2: Tổng hợp sự gia tăng tương đối mực nước lớn nhất theo chu kỳ mưa
|
| ΔH (m) |
|
Vị trí | T=5năm ==> T=20 năm | T=20năm ==> T=50 năm | T=50năm ==> T=100 năm |
[1] | 0.85 | 0.59 | 0.47 |
[2] | 0.58 | 0.37 | 0.23 |
[3] | 0.86 | 0.59 | 0.22 |
[4] | 0.94 | 0.53 | 0.53 |
[5] | 0.78 | 0.77 | 0.66 |
[6] | 0.75 | 0.73 | 0.63 |
Nhận xét: Từ kết quả chiều sâu ngập nước tại 6 vị trí điển hình xem xét có thể rút ra một số nhận xét chính sau:
Tương ứng với mưa lớn nhất ngày có chu kỳ lặp lại 20 năm, chiều sâu nước lớn nhất tại phần lớn các vị trí xem xét đều nằm trong khoảng từ 1.3m đến 1.5m.
Chiều sâu nước lớn nhất sẽ tăng khá nhanh khi xét mưa có chu kỳ lặp lại là 50 năm và 100 năm theo xu thế tất yếu thiên lớn khi chu kỳ mưa lặp lại xem xét tăng. Ví dụ tại vị trí [5] có sự gia tăng chiều sâu nước lớn nhất ứng với chu kỳ 20 năm và chu kỳ 100 năm là khoảng 1.4m.
4. Kết luận
Trên cơ sở tính toán đã thực hiện nêu trên, có thể rút ra một số kết luận chính sau đây:
Khu vực nghiên cứu nằm vào vị trí cuối hành lang thoát lũ của một lưu vực có diện tích khoảng 14.5 km2 nằm trên thượng lưu của nghiên cứu và do đó nó sẽ ảnh hưởng trực tiếp đến cao trình mực nước thoát do mưa rơi trên lưu vực gây ra. Đây là một trong những yếu tố chính nhằm xác định vị trí giới hạn ranh giới dưới thấp của khu vực dự án. Ranh giới này sẽ càng cao khi tính với cường độ trận mưa xảy ra càng lớn. yếu tố này phụ thuộc vào sự lựa chọn tần suất mưa lặp lại trong tính toán thiết kế các công trình trong dự án. Nghiên cứu đã phân tích kết quả ngập do mưa gây ra cho vùng nghiên cứu với các tần suất mưa lặp lại là 5 năm, 20 năm, 50 năm và 100 năm nhằm phục vụ cho sự lựa chọn của Chủ đầu tư.
Khu vực nghiên cứu nằm trong vùng đồi núi có độ dốc địa hình tương đối lớn do đó hiện tượng tập trung nước tạo ra lũ quét khi xảy ra mưa trên khu vực là cao nên cần có các biện pháp nhằm đảm bảo an toàn khi khai thác dự án. Kết quả trên hình 10 cho thấy lưu lượng đỉnh tại vị trí mặt cắt điển hình [A]-[A] tại chân sườn đồi vùng nghiên cứu khi xảy ra mưa trên lưu vực gia tăng rất nhanh theo tần suất mưa xem xét.
Với địa hình dốc thường tốc độ dòng chảy bề mặt lớn sẽ gây nên hiện tượng xói, bồi không thể tránh khỏi. Cần có các giải pháp công trình gia cố tại các vị trí xung yếu.
Lời cảm ơn: Chúng tôi xin cảm ơn Trường Đại học Bách khoa, ĐHQG-HCM đã hỗ trợ cho nghiên cứu này.
Tài liệu tham khảo
[1] HERVOUET Jean Michel (2007). Hydrodynamics of Free Surface Flows modeling with the finite element method. WILEY.
[2] LANG Pierre et al. (2020). Telemac2d Manuel Utilisateur V8p4. EDF.
[3] Modeling culverts in TELEMAC. Smolders, S.; Vercruysse, J.; Spiesschaert, T.; Geerts, S.; Mostaert, F. FHR reports.
[4] NGUYỄN Đình Vượng và nnk. Tạp chí Khoa học và Công nghệ Thủy lợi số 62-2020.
[5] NGUYỄN Hoàng Lâm và nnk. Tạp chí Khí tượng thủy văn 02-2017.
[6] Tính toán các đặc trưng thủy văn thiết kế. TCVN 13615-2022.
Tác giả: Phan Quang Hưng1,2, Hồ Tuấn Đức1,3, Trịnh Đình Vũ1,2, Phạm Hà4
1 Đại học Quốc gia Thành phố Hồ Chí Minh, Phường Linh Trung, Quận Thủ Đức, Thành phố Hồ Chí Minh, Việt Nam
2 Khoa Kỹ thuật Xây dựng, Trường Đại học Bách Khoa Thành phố Hồ Chí Minh (HCMUT), 268 Lý Thường Kiệt, Quận 10, Thành phố Hồ Chí Minh, Việt Nam
3 Trung tâm châu Á nghiên cứu về nước (CARE), HCMUT, 268 Lý Thường Kiệt, Quận 10, Thành phố Hồ Chí Minh, Việt Nam
4 Trung tâm khuyến công và tư vấn phát triển công nghiệp, Sở Công thương Lâm Đồng
Lộ diện những cái tên tranh tài cùng Vinhomes Green Paradise trong cuộc bình chọn “7 Kỳ quan đô thị tương lai”
Biwase - Long An đầu tư gần 800 tỷ đồng lắp tuyến ống cấp nước ngọt tới vùng hạ tỉnh Tây Ninh
KTS Trần Ngọc Chính: “Đã đến lúc đô thị Việt Nam bước lên bản đồ thế giới bằng trí tuệ và công nghệ của mình"
Chung tay vượt qua thiên tai: Chi hội Cấp thoát nước Miền Trung – Tây Nguyên hỗ trợ hội viên bị ảnh hưởng bão, lũ
Một ngày ở Vịnh Ngọc – Hành trình tìm lại cân bằng giữa thiên nhiên và nhịp sống hiện đại
Nữ thủ khoa Đại học Xây dựng Dương Hoài Thu: “Bông hoa đá” trên giảng đường kỹ thuật
Khách hàng quan tâm dự án Vịnh Ngọc (Cần Giờ) kỳ vọng vào không gian sống xanh và kết nối giao thông thuận tiện
Đọc thêm
KTS Trần Ngọc Chính: “Đã đến lúc đô thị Việt Nam bước lên bản đồ thế giới bằng trí tuệ và công nghệ của mình"
Theo KTS. Trần Ngọc Chính, Chủ tịch Hội Quy hoạch phát triển đô thị Việt Nam, nguyên Thứ trưởng Bộ Xây dựng, sự góp mặt của đại đô thị biển Vinhomes Green Paradise Cần Giờ trong cuộc bình chọn toàn cầu “7 Kỳ quan đô thị tương lai” thể hiện sự trưởng thành của tư duy quy hoạch quốc gia và tầm vóc quốc tế của doanh nghiệp Việt.
Sinh viên ngành Kỹ thuật Cấp Thoát nước Trường ĐH Xây Dựng Hà Nội trải nghiệm thực tế ngay từ năm thứ nhất
Đầu tháng 11/2025, các thầy cô Nhóm chuyên môn Cấp thoát nước, Khoa Kỹ thuật Môi trường, Trường ĐH Xây dựng Hà Nội đã tổ chức chuyến tham quan, học tập thực tế cho hơn 150 sinh viên ngành Kỹ thuật Cấp thoát nước (Khóa 66-70) tại Nhà máy Dệt nhuộm Pacific Crystal Hải Dương và Công ty CP Kinh doanh Nước sạch Hải Dương.
Phân tích lợi ích giải pháp Công ty Cấp nước cung cấp dịch vụ sửa chữa hệ thống cấp nước trong nhà
Giải pháp giúp nâng cao chất lượng dịch vụ, góp phần đảm bảo an toàn cấp nước, tối ưu nguồn nhân lực và tiết kiệm chi phí thời gian khách hàng. Quy trình xử lý khắc phục sự cố trực tuyến gồm 6 bước được đề xuất đảm bảo công khai loại sự cố và chi phí sửa chữa dưới sự theo dõi của khách hàng và công ty.
TP.HCM: Điểm ngập Đường Kinh Dương Vương
Nghiên cứu được tiến hành trước ngày 01/7/2025 nhằm tìm hiểu nhận thức và các biện pháp thích ứng với tình trạng ngập úng của người dân ở khu vực đường Kinh Dương Vương (TP.HCM).
Vinhomes Cần Giờ sẽ sử dụng công nghệ san lấp biển hiện đại bậc nhất của Nhật Bản
Ngày 31/10, Công ty CP Đô thị du lịch Cần Giờ đã ký hợp đồng với liên danh nhà thầu, đại diện là Công ty CP Tư vấn đầu tư công trình hàng hải Việt Nam để ứng dụng công nghệ gia cố bùn san lấp của Nhật Bản cho dự án Vinhomes Green Paradise.
Tổ chức chấm chọn Giải thưởng Đồ án Tốt nghiệp xuất sắc ngành Cấp Thoát nước năm 2025
Sáng 28/10/2025, Trung tâm đào tạo Bồi dưỡng ngành Nước Việt Nam (thuộc Hội Cấp Thoát nước Việt Nam) đã tổ chức buổi chấm chọn Giải thưởng Đồ án Tốt nghiệp xuất sắc cho sinh viên theo học ngành Cấp Thoát nước.
Nghiên cứu đánh giá sự lan truyền bùn nạo vét từ Cảng Sơn Trà và khả năng ảnh hưởng đến Nhà máy nước Cầu Đỏ
Nghiên cứu này đánh giá nồng độ bùn lan truyền nhằm mục đích xem xét so sánh với các tiêu chuẩn môi trường cho phép về độ đục nhằm có các biện pháp thi công thích hợp để giảm thiểu tác động tiêu cực, đồng thời xem xét ảnh hưởng (nếu có) đến sự lan truyền bùn lơ lửng về thượng lưu sông Hàn.
Quản trị, điều hành tại HueWACO trên nền tảng công nghệ 4.0
Nhận thức rõ chuyển đổi số là xu thế tất yếu, HueWACO đã tích cực ứng dụng công nghệ số, giải pháp số vào tất cả các hoạt động sản xuất, kinh doanh, dịch vụ khách hàng của Công ty.
Nghiên cứu kết hợp lý thuyết đồ thị và thuật toán di truyền
Nghiên cứu đề xuất một phương pháp nhằm đưa ra sơ đồ bố trí lắp đặt tối ưu bộ thiết bị tiền định vị, bao gồm các thiết bị noise logger ghi nhận âm thanh rò rỉ trên mạng lưới cấp nước, nhằm tìm kiếm hoặc dự báo rò rỉ tại một khu vực phân vùng tách mạng.